11.Sınıf Matematik Ders Kitabı SDR Yayınları “Bir Doğru Parçasını Belli Bir Oranda (İçten veya Dıştan) Bölen Noktanın Koordinatları-Üçgenin Ağırlık Merkezinin Koordinatları” ilgili Sayfa 97 ve Sayfa 98’daki “Alıştırmalar 2-2” sorularının ayrıntılı ve adım adım çözümlerini, cevaplarını yazılı ve videolu anlatımı bu sayfada bulabilirsiniz.
11.Sınıf Matematik Ders Kitabı Sayfa 97 ve Sayfa 98 Çözümleri-Cevapları – SDR Yayınları








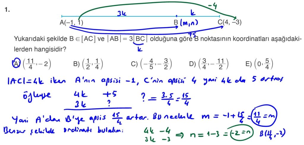
📐 Bir Doğru Parçasını Belli Bir Oranda Bölen Noktanın Koordinatları
Bir doğru parçasını, yani iki nokta arasındaki düz bir çizgiyi, belli bir oranda bölen bir nokta düşünün. Bu bölme işlemi içten veya dıştan olabilir.
1. İçten Bölme
Bir AB doğru parçasını düşünün. Üzerindeki bir C noktası, C noktası A ve B arasında kalacak şekilde doğru parçasını bölerse, buna içten bölme denir.
- Mantık: A noktasından B noktasına doğru hareket ederken, koordinatlardaki (hem x hem de y) değişim, parçanın uzunluk oranına göre paylaşılır.
- Örneğin, AC uzunluğu, CB uzunluğunun iki katıysa (yani oran 2:1 ise), A’dan B’ye giderken x koordinatındaki toplam artışın 2/3’ü A’dan C’ye kadardır, kalan 1/3’ü ise C’den B’ye kadardır. C’nin koordinatları, A’nın koordinatlarından başlanarak bu orantılı değişim miktarları eklenerek bulunur.
Harika, bu geometrik kavramları formül kullanmadan, sadece sözel olarak açıklayalım.
📐 Bir Doğru Parçasını Belli Bir Oranda Bölen Noktanın Koordinatları
Bir doğru parçasını, yani iki nokta arasındaki düz bir çizgiyi, belli bir oranda bölen bir nokta düşünün. Bu bölme işlemi içten veya dıştan olabilir.
1. İçten Bölme
Bir AB doğru parçasını düşünün. Üzerindeki bir C noktası, C noktası A ve B arasında kalacak şekilde doğru parçasını bölerse, buna içten bölme denir.
- Mantık: A noktasından B noktasına doğru hareket ederken, koordinatlardaki (hem x hem de y) değişim, parçanın uzunluk oranına göre paylaşılır.
- Örneğin, AC uzunluğu, CB uzunluğunun iki katıysa (yani oran 2:1 ise), A’dan B’ye giderken x koordinatındaki toplam artışın 2/3’ü A’dan C’ye kadardır, kalan 1/3’ü ise C’den B’ye kadardır. C’nin koordinatları, A’nın koordinatlarından başlanarak bu orantılı değişim miktarları eklenerek bulunur.
2. Dıştan Bölme
Bir AB doğru parçasını düşünün. Bir D noktası, D noktası A ve B’nin dışında, uzantısı üzerinde kalacak şekilde doğru parçasını bölerse, buna dıştan bölme denir. Bu durumda, D noktası ya A’ya daha yakın olup B tarafından uzakta kalır ya da B’ye daha yakın olup A tarafından uzakta kalır.
- Mantık: Nokta doğru parçasının dışında olduğu için, A’dan B’ye olan vektörün yönüne göre, D’nin koordinatları A veya B’den geriye doğru veya daha ileriye doğru gidilerek bulunur.
- Örneğin, DA uzunluğu, DB uzunluğunun yarısıysa, D noktası AB doğru parçasının A tarafında uzantıdadır. D’den A’ya hareket, A’dan B’ye hareketi belirli bir oranda (bu örnekte, A’dan B’ye olan mesafenin iki katı) geriye doğru götürür.
🔺 Üçgenin Ağırlık Merkezinin Koordinatları
Ağırlık Merkezi (Sentroid) Nedir?
Bir üçgende ağırlık merkezi, üçgenin köşelerinden karşı kenarların orta noktasına çizilen çizgilerin, yani kenarortayların kesişim noktasıdır. Bu nokta, üçgenin fiziksel olarak dengede durduğu noktadır; yani üçgeni bu noktadan kaldırırsanız düz bir şekilde durur.
Koordinatları Nasıl Bulunur?
- Mantık: Ağırlık merkezinin koordinatları, aslında üçgenin üç köşesinin koordinatlarının aritmetik ortalamasıdır.
- Elinizde bir üçgenin üç köşesi (A, B, C) varsa, ağırlık merkezinin x koordinatını bulmak için A’nın x koordinatını, B’nin x koordinatını ve C’nin x koordinatını toplar ve sonucu üçe bölersiniz.
- Aynı işlemi y koordinatı için de yaparsınız: Üç köşenin y koordinatlarını toplar ve üçe bölersiniz.
Bu basit ortalama işlemi, ağırlık merkezinin koordinatlarını verir.
11.Sınıf Matematik Ders Kitabı Cevapları-Çözümleri – SDR Dikey Yayınlar
[…] 11.Sınıf Matematik Kitabı Sayfa 97-98 Çözümleri-Cevapları – SDR Yayınları […]